聯系熱線

臭氧監測一級校準質量保證與質量控制 接上一篇文章: 臭氧校準結果計算與評價 7復校時間間隔 臭氧監測一級校準復校時間間隔一般不超過一年。 臭氧傳遞標準在證書有效期內,若出

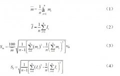
臭氧校準結果計算與評價 接上一篇: 臭氧監測一級校準方法(HJ1096-2020) 6結果計算與評價 6.1校準曲線的繪制 以臭氧標準參考光度計的測定值為橫坐標,臭氧傳遞標準的響應值為縱坐

臭氧監測一級校準方法(HJ1096-2020) 接上一篇: 臭氧監測一級校準設施的組成與要求 5.1儀器預熱 臭氧標準參考光度計開機后預熱穩定應不少于48h,臭氧傳遞標準/臭氧控制標準應充分預

臭氧監測一級校準設施的組成與要求 接上一篇: 環境空氣臭氧監測一級校準術語和定義 4.1臭氧監測一級校準設施的組成 臭氧監測 一級校準設施由臭氧標準參考光度計、零氣發生裝置

環境空氣臭氧監測一級校準術語和定義 1.適用范圍 本標準規定了環境空氣臭氧監測一級校準的要求、臭氧一級標準校準臭氧傳遞標準的方法及其質量保證與質量控制。 本標準適用于臭

分析儀與臭氧系統的連接:全流量,旁路,排氣模式 臭氧分析儀 必須與臭氧系統相連,以便有足夠的樣品氣體流經比色皿。流速有一個下限和一個上限。 從理論上講,很低限度是由臭氧

BMT臭氧光度計靈敏度的穩定性影響因素? 臭氧光度計增益或靈敏度的穩定性取決于以下各項的穩定性:比色皿長度、UV 檢測器、從 UV 燈到檢測器的輻射傳輸以及光度計算。 當計算由像

描述了一種高度便攜的臭氧 (O3) 校準源,可作為美國 EPA 4 級傳輸標準,用于校準臭氧分析儀,并根據分析品質因數以及環境壓力和濕度的影響進行評估。區域的可再現混合比是通過來自
